LimeLight
Introduction
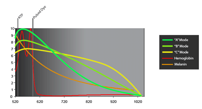
LimeLight is versatile and powerful device for treating vascular and pigmented lesions. Three distinct pre-set programs (520-1100 nm) provide excellent hemoglobin and melanin absorption for uniform treatments and ease of use. Clinical versatility permits treatment of multiple indications, including both low and high contrast pigmentation. Features such as the industry's fastest treatment speed and adjustable temperature control provide clinical versatility. Only company with real-time calibration; this ensures accurate and consistent power output during treatment for reproducible results and patient safety.
LimeLight Spectral Curves
| Program |
Comparable Filtered Device |
Application |
| A |
520 filter |
Fine telangiectasia, diffuse redness |
| B |
560 filter |
Telangiectasia, diffuse redness, low and high contrast pigment |
| C |
580 filter |
Solar lentigines |
LimeLight Changes both Wavelengths and Pulse Durations
Specification
| Light source |
Flash Lamp |
| Wavelength |
520 - 1100nm |
| Fluence Range |
5 - 30J/cm2 |
| Pulse Width |
Automatic |
| Spot Size |
10 × 30 mm |
| Cooling |
5, 10 or 20℃ |
| Repetition |
2 Hz |